Предмет: Геометрия,
автор: anyitabochka
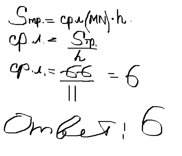
Высота трапеции равна 6, площадь равна 66. найдите среднюю линию трапеции
Ответы
Автор ответа:
0
Площадь трапеции находится ещё и по не привычной нам формуле.
Приложения:
Похожие вопросы
Предмет: Английский язык,
автор: legentik
Предмет: Русский язык,
автор: kiti36
Предмет: Русский язык,
автор: akihirousenpai
Предмет: Английский язык,
автор: yarik200232
Предмет: Математика,
автор: nina198643