Предмет: Алгебра,
автор: Ava1212
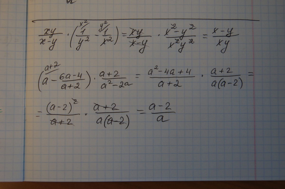
Помогите пожалуйста срочно нужно номер 91(а,в)
Приложения:
Ava1212:
помоги плз
помги плз :)
Ответы
Автор ответа:
1
,,,,,,,,,,,,,,,,,,,,,,,,,,,,,,,
Приложения:
поможешь еще с одним
заранее спасибо
ниже этого посмотри
я прост давно создал
прив помоги плз
Похожие вопросы
Предмет: Русский язык,
автор: Annacat18901
Предмет: Русский язык,
автор: мико85
Предмет: Английский язык,
автор: iZED
Предмет: Литература,
автор: arinafolina2
Предмет: Информатика,
автор: Аноним