Предмет: Математика,
автор: rockme12
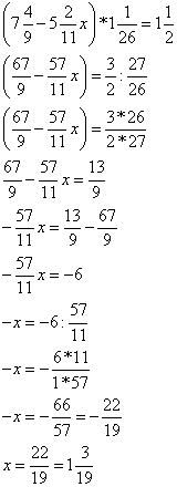
решите задачу : федя задумал число 815 которого равны 32 целых 45.Какое число задумал Федя? и еще решите уравнение : ( 7 целых 49 - 5 целых 211 х) * 1 целую 126 = 1 целая 12. ПОЖАЛУЙСТА ПОМОГИТЕ!!
Ответы
Автор ответа:
0
32 цел4/5=32,8 ,значит
32,8:8*15=61,5 задуманное число или 61 цел 1/2
======================
уравнение добавлю позже
Приложения:
Похожие вопросы
Предмет: Русский язык,
автор: akkozinasamal
Предмет: Русский язык,
автор: aknurturagulova
Предмет: История,
автор: xyligan0913
Предмет: Алгебра,
автор: y4enikotli4nik07