Предмет: Алгебра,
автор: darmoedka
помогите с решением!
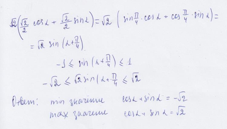
Найдите наибольшее и наименьшее значение выражения:
cos a +sin a
Ответы
Автор ответа:
2
решение в приложении:
Приложения:
Похожие вопросы
Предмет: Английский язык,
автор: лол1568
Предмет: Беларуская мова,
автор: krupennikov1990
Предмет: Другие предметы,
автор: karimovakamilla12
Предмет: Биология,
автор: nastyafnastya