Предмет: Алгебра,
автор: zhirkvjur
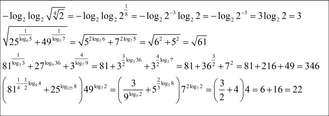
Помогите с логарифмами
Упростить:
Приложения:
Ответы
Автор ответа:
1
решение смотри во вложении.........
Приложения:
zhirkvjur:
спасибо) выручил
http://znanija.com/task/11318973
вот с этим сможешь помочь? http://znanija.com/task/11321836
и этим http://znanija.com/task/11321829
Похожие вопросы
Предмет: Алгебра,
автор: Аноним
Предмет: Обществознание,
автор: DenisKarpov2
Предмет: Математика,
автор: gguzelka21
Предмет: Биология,
автор: tanya9681604810
Предмет: Українська мова,
автор: oxanateplovozp54ty0