Предмет: Математика,
автор: Daniil241087
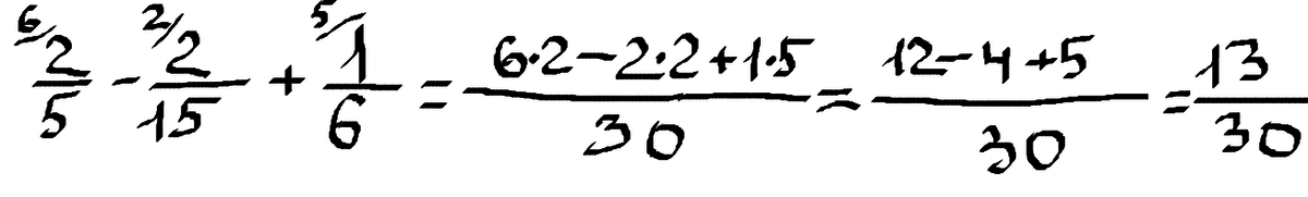
Как решить этот пример 2/5-2/15+1/6
Ответы
Автор ответа:
0
Лови решение в файлике. Если появятся вопросы, то пиши. Удачи в решениях!
Darknight (Sunny Storm)
Darknight (Sunny Storm)
Приложения:
Похожие вопросы
Предмет: Математика,
автор: умник1536
Предмет: Математика,
автор: прокофий2
Предмет: Математика,
автор: Бобик111
Предмет: Английский язык,
автор: Mynikf