Предмет: Математика,
автор: alkolokoltseva
Помогите решить пример:
Приложения:
Ответы
Автор ответа:
0
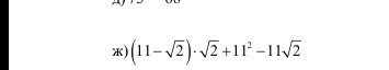
( 11 - "корень_из_2" ) *
"корень_из_2" + "11_в квадрате" - 11 * "корень_из_2" =
11 * "корень_из_2" - 2 + 121 - 11 * "корень_из_2" = 0 - 2 + 121 = 123.
1) Раскрываем скобки и получаем 11 * "корень_из_2" и просто "двойку" при умножении "корень_из_2" на самого себя.
2) "11_в_квадрате" равно 121.
3) 11 * "корень_из_2" минус 11 * "корень_из_2" получаем "0".
4) 2 плюс 121 = 123.
Конец решения.
1) Раскрываем скобки и получаем 11 * "корень_из_2" и просто "двойку" при умножении "корень_из_2" на самого себя.
2) "11_в_квадрате" равно 121.
3) 11 * "корень_из_2" минус 11 * "корень_из_2" получаем "0".
4) 2 плюс 121 = 123.
Конец решения.
Похожие вопросы
Предмет: МХК,
автор: Kirich12248
Предмет: Математика,
автор: пдддквь
Предмет: Английский язык,
автор: pashapetrov59comp
Предмет: Окружающий мир,
автор: povara22