Предмет: Математика,
автор: Аноним
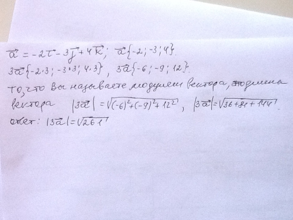
Найдите модуль вектора 3а,если вектор а-2вектор i -3 вектор l+4 вектор K. Помогите пажалуйсто
Ответы
Автор ответа:
2
-----------------------------------------------------------
Приложения:
Похожие вопросы
Предмет: Обществознание,
автор: Verochlalubimay
Предмет: Химия,
автор: Alisa17178
Предмет: Математика,
автор: andreevaliza77
Предмет: Физика,
автор: dianavolk00