Предмет: Математика,
автор: seliverstovdim
упростите выражение:
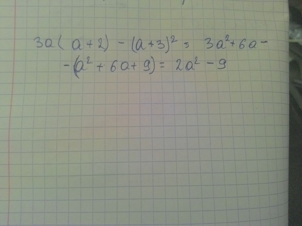
3a(a+2)-(a+3)^2 помогите ребзя
Ответы
Автор ответа:
0
3а в квадрате+6а- а в квадрате -6а-6=2а в квадрате-6.
Автор ответа:
1
как-то так получается. елементарно на самом деле)
Приложения:
Похожие вопросы
Предмет: Литература,
автор: dianagord208
Предмет: Русский язык,
автор: PANTHERNICEYT
Предмет: Окружающий мир,
автор: айлаайла345678910
Предмет: Қазақ тiлi,
автор: Polinapavlyyk077
Предмет: Литература,
автор: kris1601200729