Предмет: Алгебра,
автор: marat0564
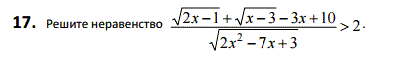
Решите неравенство. Дайте либо план как решить, либо идейку
Приложения:
Ответы
Автор ответа:
0
(√2х-1+√х-3-3х+10-2√(2х-1)(х-3))√(2х-1)(х-3)>0 знаменатель положителен
ОДЗ х>1/2 и х>3 ⇒x>3 +10 разложили на слагаемые 4+6
√2x-1+√x-3-(2x-1+2√(2x-1)(x-3)+x-3)+6>0
(√2x-1+√x-3)-(√2x-1+√x-3)²+6>0
(√2x-1+√x-3)²-(√2x-1+√x-3)-6<0
√2x-1+√x-3=t
t²-t-6<0
-2<t<3
т.к. t - сумма двух неотрицательных чисел, то неравенство равносильно
0≤t<3
0≤√2x-1+√x-3<3
√2x-1+√x-3≥0 неравенство верно для любого х из области определения
√2x-1+√x-3<3
√2x-1<3-√x-3
2x-1<9-6√x-3+x-3
x-7<-6√x-3
6√x-3<7-x
36x-108<49-14x+x²
x²-50x+157>0
d1=625-157=468
x=25-√468 x=25+√468
x<25-√468 x>25+√468 и x>3
x∈ (3;25-√468)v(25+√468;+∞∞)
ОДЗ х>1/2 и х>3 ⇒x>3 +10 разложили на слагаемые 4+6
√2x-1+√x-3-(2x-1+2√(2x-1)(x-3)+x-3)+6>0
(√2x-1+√x-3)-(√2x-1+√x-3)²+6>0
(√2x-1+√x-3)²-(√2x-1+√x-3)-6<0
√2x-1+√x-3=t
t²-t-6<0
-2<t<3
т.к. t - сумма двух неотрицательных чисел, то неравенство равносильно
0≤t<3
0≤√2x-1+√x-3<3
√2x-1+√x-3≥0 неравенство верно для любого х из области определения
√2x-1+√x-3<3
√2x-1<3-√x-3
2x-1<9-6√x-3+x-3
x-7<-6√x-3
6√x-3<7-x
36x-108<49-14x+x²
x²-50x+157>0
d1=625-157=468
x=25-√468 x=25+√468
x<25-√468 x>25+√468 и x>3
x∈ (3;25-√468)v(25+√468;+∞∞)
mymurkin:
ход решения такой, проверьте только вычисления
)))
Автор ответа:
0
Похожие вопросы
Предмет: Математика,
автор: ник4858
Предмет: Математика,
автор: лол1553
Предмет: Алгебра,
автор: Ninja316
Предмет: Математика,
автор: Sishkaka
Предмет: Математика,
автор: timurotroshko168