Предмет: Алгебра,
автор: Аноним
Кто сможет сделать буквы а и б? И объясните эти лимы? Что это, что за пределы, что засмысл их? Номер 26.16-26.19 даю за объяснение четкое и краткое лучшие и номера буду очень благодарен! !!!
Приложения:
Ответы
Автор ответа:
0
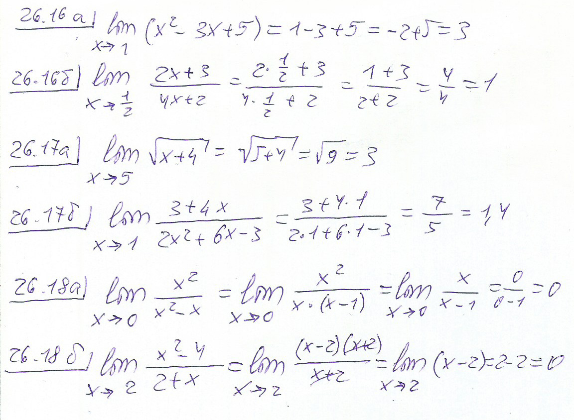
Решения в файлах. Будут вопросы - спрашивайте ))
Приложения:
Автор ответа:
0
Это здорово, спасибо. А все-же в чем суть этих лимитов?
Автор ответа:
0
На здоровье )) В чем смысл пределов? Они являются фундаментом математического анализа ))
Автор ответа:
0
Я понял и так. А опредление их или что? Ну блин в чем его суть?
Автор ответа:
0
Короче по русски: нах он нужен?
Автор ответа:
0
Тем кто проходит в вузе лимиты весной обычно они уже нах не нужны
Автор ответа:
0
26.16 а)3 б)1
26.17 а) 3 б)7/5
26.18 а)бесконечность б)бесконечность (вместо х подставляешь число под лимитом)
26.17 а) 3 б)7/5
26.18 а)бесконечность б)бесконечность (вместо х подставляешь число под лимитом)
Приложения:
Похожие вопросы
Предмет: Алгебра,
автор: wwwnazar99nh
Предмет: История,
автор: df1293546
Предмет: Литература,
автор: podkopaevauliyna
Предмет: Литература,
автор: ВЛАД9999888