Предмет: Математика,
автор: Kebbi
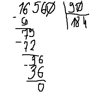
помогите матика деление столбиком 2снимок образец
Приложения:
tim2000on:
а чем помочь надо
пример решить!!!!
Ответы
Автор ответа:
1
вот так,если не ошибаюсь давно в столбик не считала,но это правильно
Приложения:
Похожие вопросы
Предмет: Қазақ тiлi,
автор: oliaavdonina2817
Предмет: Английский язык,
автор: геншафтик
Предмет: Английский язык,
автор: геншафтик
Предмет: Физика,
автор: hola2
Предмет: История,
автор: garararav