Предмет: Геометрия,
автор: Milana77
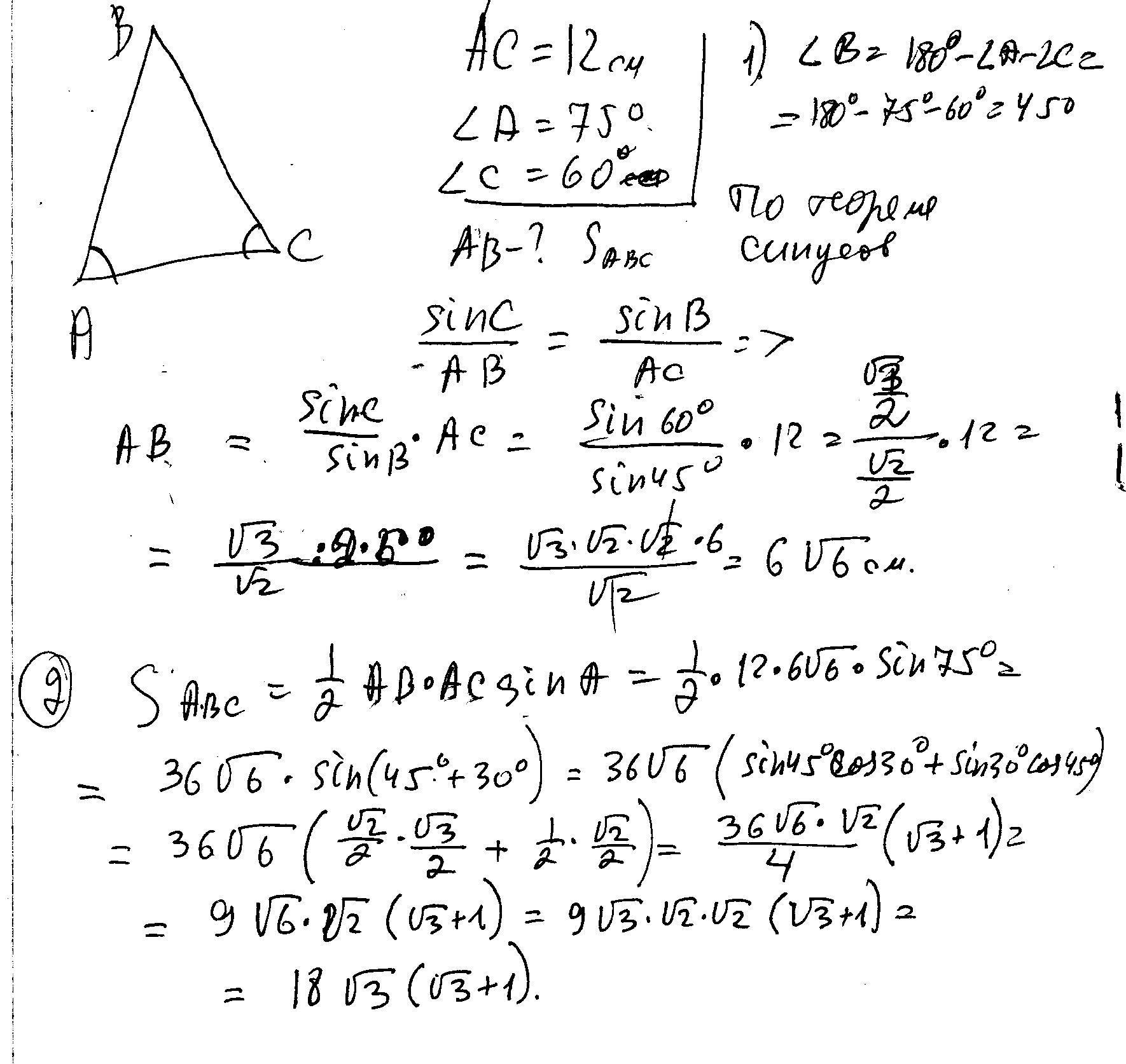
В треугольнике ABC AC=12 см, угол A=75 градусов,угол C=60 градусов. Найдите AB И площадь треугольника ABC на сколько знаю то по теореме синусов решается.
Ответы
Автор ответа:
0
В треугольнике ABC AC=12 см, угол A=75 градусов,угол C=60 градусов. Найдите AB И площадь треугольника ABC
Приложения:
Похожие вопросы
Предмет: Математика,
автор: Аноним
Предмет: Информатика,
автор: anosimovamaria493
Предмет: Другие предметы,
автор: mmoshen666
Предмет: Математика,
автор: Walia802
Предмет: Информатика,
автор: насечка2001