Предмет: Алгебра,
автор: iulyasha2015
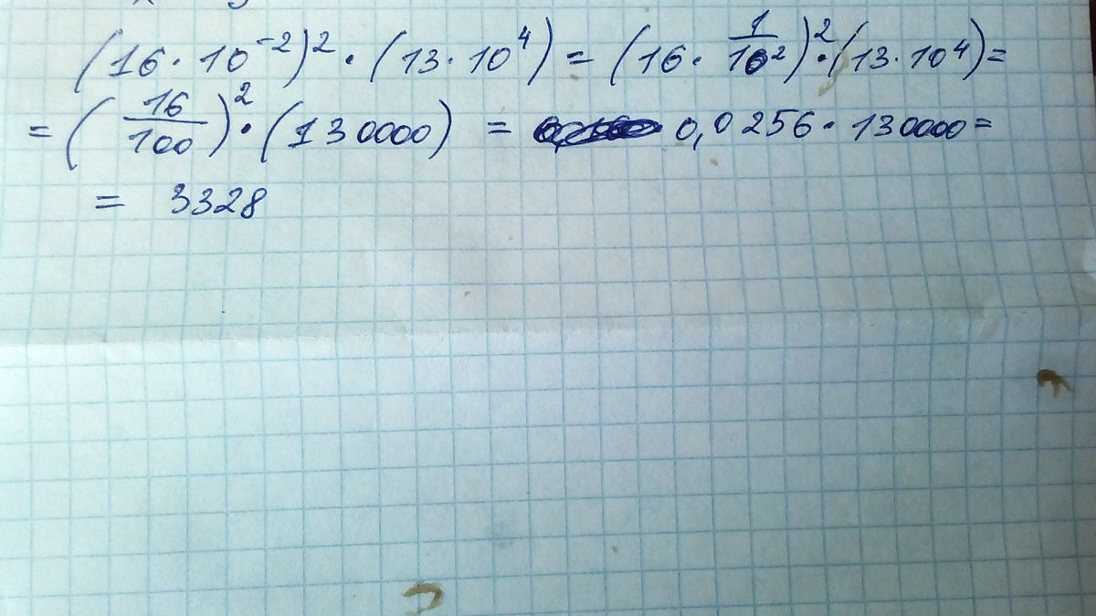
Найти значение выражения (16*10 в минус 2-й степени)во второй степени*(13*10 в 4 степени ).Срочно.
Ответы
Автор ответа:
161
ответ в фотографии,,,
Приложения:
iulyasha2015:
Огромное спасибо )
Похожие вопросы
Предмет: Английский язык,
автор: A28012007
Предмет: Русский язык,
автор: БейшеналиеваГ
Предмет: Русский язык,
автор: renadoc
Предмет: Математика,
автор: Аноним
Предмет: История,
автор: millervioletta