Предмет: Алгебра, автор: erg

Помогите пожалуйста с логарифмами!

Приложения:

Ответы

Автор ответа: red321
0
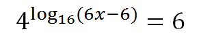
ОДЗ:
6x-6>0
x>1

4^{log_{4^2}(6x-6)}=6\4^{frac{1}{2}log_4(6x-6)}=6\(4^{log_4(6x-6)})^frac{1}{2}=6\(6x-6)^frac{1}{2}=6\((6x-6)^frac{1}{2})^2=6^2\6x-6=36\6x=42\x=7
Похожие вопросы
Предмет: Окружающий мир, автор: bibochka0103