Предмет: Алгебра,
автор: 09765
Помогите решить логарифмическое неравенство и уравнения (подробно)
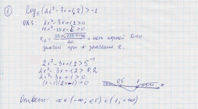
1) log_5(2x^2-3x+1.2)>-1
2) lg^2(x)-3lg(x)+2=0
3) log_2(x)+5log_x(2)=6
Ответы
Автор ответа:
0
решения в приложении:
Приложения:
Похожие вопросы
Предмет: Қазақ тiлi,
автор: tursynhansehan
Предмет: Математика,
автор: Аноним
Предмет: Алгебра,
автор: artemschool0707
Предмет: Математика,
автор: Аноним
Предмет: Химия,
автор: vavilovnikita