Предмет: Алгебра,
автор: rpgeha
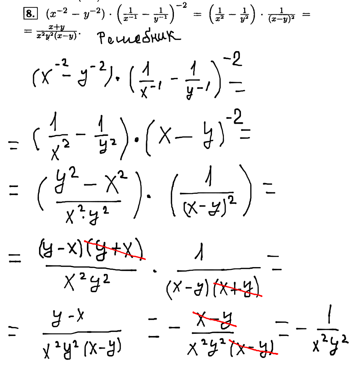
Где я совершил ошибку?
Приложения:
SkyBy:
Хочу сказать, что даже в ответе ошибка.
Ответы
Автор ответа:
2
ошибка в четвертой строчке:
(x-y)²= (x-y)(x-y),
а у тебя (x-y)²=(x-y)(x+y) и тогда ответ получается, как должен
(x-y)²= (x-y)(x-y),
а у тебя (x-y)²=(x-y)(x+y) и тогда ответ получается, как должен
Потерялся только минус.
Автор ответа:
1
Смотрите решение в прикреплённом файле.
Приложения:
Похожие вопросы
Предмет: Русский язык,
автор: egor518
Предмет: Русский язык,
автор: ано6
Предмет: Русский язык,
автор: частник
Предмет: Математика,
автор: esv997