Предмет: Алгебра,
автор: Nekto911
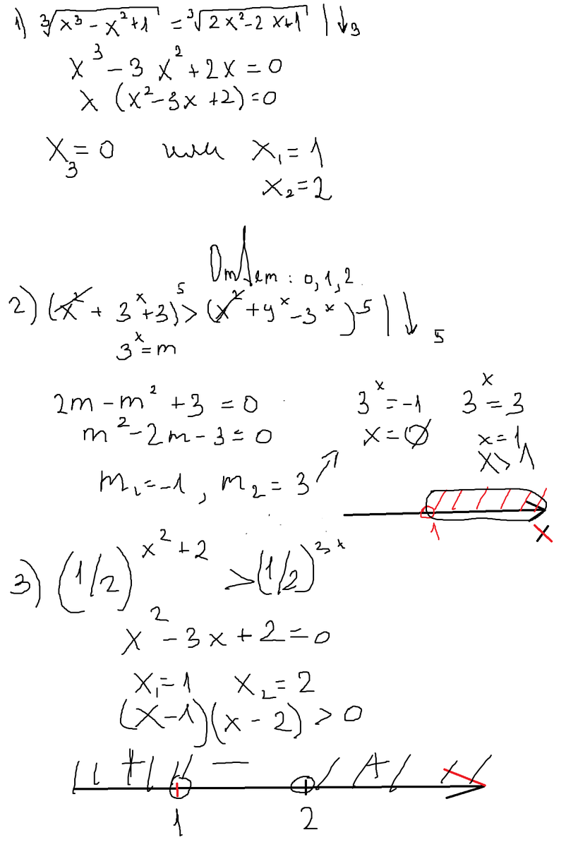
Помогите решить с 1 по 3 задание . Заранее благодарна .
Приложения:
Ответы
Автор ответа:
1
..................смотри
Приложения:
Похожие вопросы
Предмет: Українська мова,
автор: reva7
Предмет: Русский язык,
автор: Лера1111222111
Предмет: Английский язык,
автор: Аноним
Предмет: Английский язык,
автор: vera2345
Предмет: Русский язык,
автор: PodvornyjDV