Предмет: Алгебра,
автор: all97
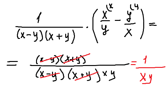
Упростите
Ответы
Автор ответа:
0
см.рис
===============================================
Приложения:
Похожие вопросы
Предмет: Русский язык,
автор: Аноним
Предмет: Математика,
автор: milkam2222
Предмет: Английский язык,
автор: saule041067
Предмет: Математика,
автор: Аноним
Предмет: Алгебра,
автор: Пооо