Предмет: Алгебра,
автор: ERTWS
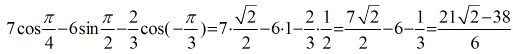
7cos п/4-6 sin п/2 -2/3 cos (-п/3)
Ответы
Автор ответа:
1
Решение смотрите во вложении.........
Приложения:
Похожие вопросы
Предмет: Английский язык,
автор: лера2132
Предмет: Другие предметы,
автор: Аноним
Предмет: Английский язык,
автор: Ivan3006
Предмет: Алгебра,
автор: innadanyliuk2004
Предмет: История,
автор: ороимотиолллрррр