Предмет: Алгебра,
автор: NikitaNsk89Nax
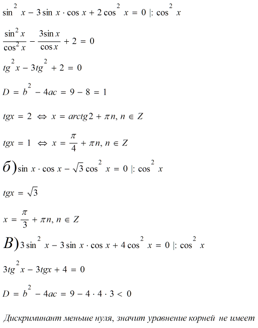
а)sin^2x - 3 sin x cos x + 2 cos ^ 2x = 0
б)sin x * cos x - корень3 cos ^2x = 0
в) 3 sin ^2 x - 3 sin x con x +4 cos ^2 x =0
Ответы
Автор ответа:
2
Решение смотрите во вложении.............
Приложения:
Похожие вопросы
Предмет: Русский язык,
автор: krasnay118лиза
Предмет: Русский язык,
автор: nurmuhammadil
Предмет: Английский язык,
автор: kudinlarisy
Предмет: Информатика,
автор: viktoriaivut9
Предмет: Информатика,
автор: ayka2338