Предмет: Алгебра,
автор: Nastysha0197
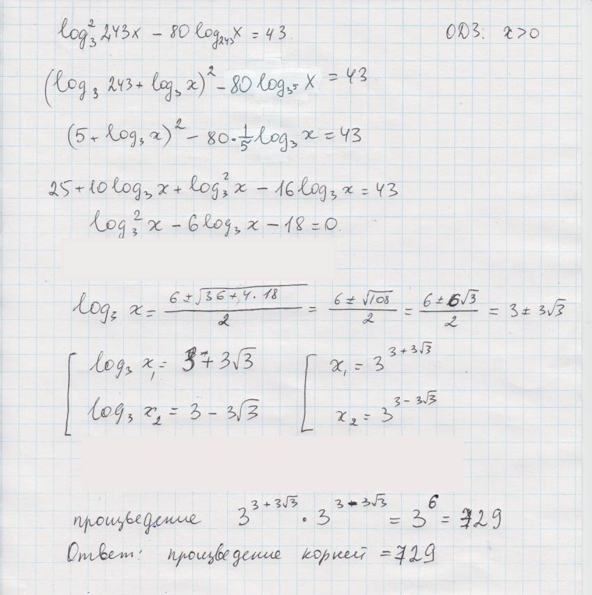
log^2 (243x) по основанию 3 - 80logx по основанию 243 =43 ( если уравгение имеет более одного корня, в ответ укажите произведение всех корней уравнения)
Ответы
Автор ответа:
2
решение в приложении:
Приложения:
Похожие вопросы
Предмет: Українська мова,
автор: MrFindAll
Предмет: Русский язык,
автор: лама12345
Предмет: Русский язык,
автор: BroKosti4ka
Предмет: Алгебра,
автор: zeze28
Предмет: Математика,
автор: cemenkekov