Предмет: Алгебра,
автор: LerkaLedovskaya
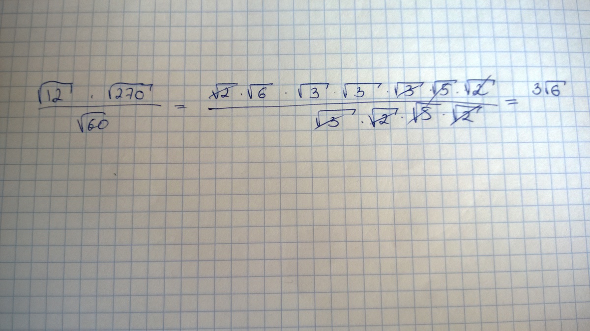
Найдите значение выражения : корень из 12 умножить на корень из 270 (дробная черта)
корень из 60
Ответы
Автор ответа:
34
надеюсь все предельно понятно))
Приложения:
Похожие вопросы
Предмет: Английский язык,
автор: Аида200514
Предмет: Қазақ тiлi,
автор: roma123453
Предмет: Русский язык,
автор: Лош111111111111
Предмет: Английский язык,
автор: fluffyqueen
Предмет: Русский язык,
автор: iuuuuuuu