Предмет: Математика,
автор: Кракозябренок
поиогите пожалуйста )Только под Б!)
Приложения:
Ответы
Автор ответа:
0
Ладно, помогу
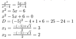
В этом уравнении знаменатели дробей справа и слева одинаковы, следовательно они сокращаются, работаем только с числителями:






Итак, получили два корня: x = 2 и x = 3
Вот тут-то и вспоминаем про знаменатели, которые мы благополучно "сократили".
Если взять x = 2 то знаменатель дроби x²-4 превращается в 0, что недопустимо. Следовательно, нас устраивает лишь один корень: x = 3
В андроиде уравнения могут быть похожи на кракозябры, поэтому кинул тебе еще и скрин решения уравнения.
В этом уравнении знаменатели дробей справа и слева одинаковы, следовательно они сокращаются, работаем только с числителями:
Итак, получили два корня: x = 2 и x = 3
Вот тут-то и вспоминаем про знаменатели, которые мы благополучно "сократили".
Если взять x = 2 то знаменатель дроби x²-4 превращается в 0, что недопустимо. Следовательно, нас устраивает лишь один корень: x = 3
В андроиде уравнения могут быть похожи на кракозябры, поэтому кинул тебе еще и скрин решения уравнения.
Приложения:
Похожие вопросы
Предмет: Русский язык,
автор: alshyndaurenbek
Предмет: История,
автор: hasenovasulu
Предмет: Алгебра,
автор: Аноним
Предмет: Математика,
автор: Brakes
Предмет: Математика,
автор: Anna316