Предмет: Алгебра,
автор: moiseenkonasta
Помогите пожалуйста
Решить совокупность неравенств и отметить на координатной прямой
1) (x+3) (x^2-3x+9)<54
x^2-9>0
2) x^2<25
x-1/x+3<0
Решить неравенство и отметить на координатной прямой
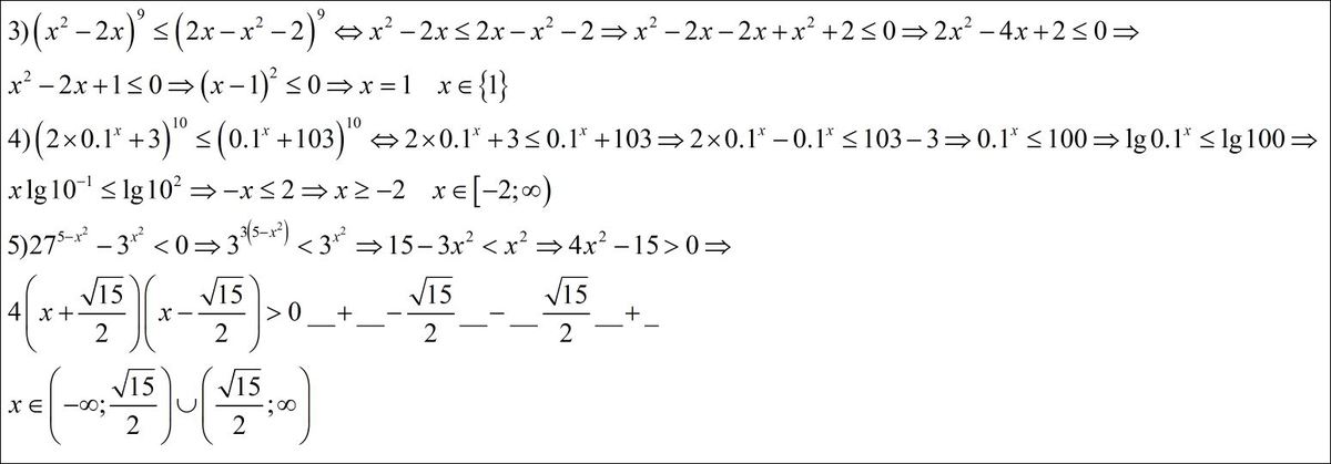
3) (x^2-2x)^9 меньше или равно (2x-x^2-2)^9
4)(2*0,1^x +3)^10 меньше или равно (0,1^x +103)^10
5) 27^5-x^2 - 3^x^2 <0
Ответы
Автор ответа:
0
решение смотри во вложении............................
Приложения:
Автор ответа:
0
извините, но я в последнем номере пропустила цифру нужно
27^5-x^2 - 3^x^2-1 <0
27^5-x^2 - 3^x^2-1 <0
Автор ответа:
0
15-3x^2<x^2-1 4x^2-16>0 4(x-2)(x+2)>0 __+___-2___-____2___+____ xє(-беск.;-2)U(2;,беск.)
Похожие вопросы
Предмет: История,
автор: aaijannat
Предмет: Қазақ тiлi,
автор: aqniettenel
Предмет: История,
автор: romashka60384
Предмет: Химия,
автор: fank4567
Предмет: Математика,
автор: borikos