Предмет: Информатика, автор: ilyaburov86

Составить блок-схему алгоритма и программу на алгоритмическом языке. Язык Паскаль с функцией возведения в степень power()...

Приложения:

Ответы

Автор ответа: Аноним
0
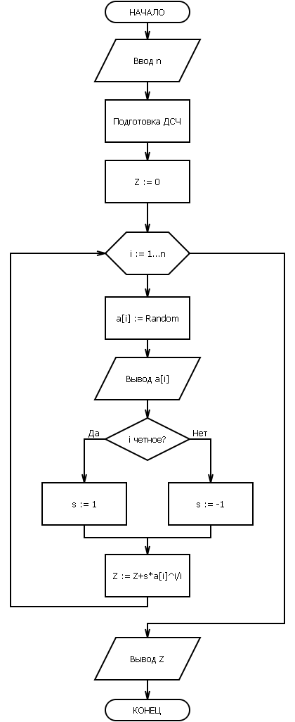
const
  n = 6;

var
  a: array[1..n] of double;
  i: integer;
  s, z: double;

begin
  Randomize;
  Writeln('Элементы массива');
  z := 0;
  for i := 1 to n do
  begin
    a[i] := Random;
    Write(a[i]:13:10);
    if (i mod 2)=0 then s:=1 else s:=-1;
    z:=z+s*power(a[i],i)/i
  end;
  Writeln;
  Writeln('Z=',z)
end.

Тестовое решение:
Элементы массива
 0.8154654227 0.5427680088 0.4687027379 0.4716027125 0.7476417570 0.8805677969
Z=-0.659140947600361

Блок-схема во вложении.


Приложения:
Автор ответа: Аноним
0
Пожалуйста
Похожие вопросы
Предмет: Математика, автор: lolonok
 Из слова АБРИКОС, выполнив ряд несложных вычислений можно получить разные
слова. Например

    8     *2          16      -4           12     +8          20    :5         4             БИРКА       
   28    -20            *3             :2               СБОР     Разгадай слова, и ты узнаешь, кто из Простоквашино с увлечением смотрит какой вид спорта.  
28   -4        :3        :2         *5        -16          ____________  
              20  -8         *2         +4           :1           ___________   



































 




   
8    
*2         
16 
   
-4
          12     +8        
 20   
:5         4             БИРКА   


 


































 




  
28   
-20          
 
*3             :2         
     СБОР


 

 

Разгадай
слова, и ты узнаешь, кто из Простоквашино с увлечением смотрит какой вид
спорта.













































 




28   -4       
:3        :2      
  *5       
-16          ____________































 




              20  -8        
*2         +4           :1           ___________