Предмет: Алгебра,
автор: Аноним
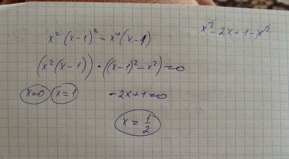
Решите уравнение x^2(x-1)^3=x^4(x-1)
Ответы
Автор ответа:
0
....................
Приложения:
Похожие вопросы
Предмет: Русский язык,
автор: yasminsamiyeva
Предмет: Английский язык,
автор: nastjuwa74
Предмет: География,
автор: dinaragadzhieva5
Предмет: Математика,
автор: Аноним
Предмет: История,
автор: starodouba