Предмет: Алгебра,
автор: ZaurChikDzgo
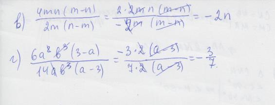
Сократите алгебраическую дробь. В) 4mn(m-n)/2m(n-m) Г) 6a^2b^3(3-a)/14ab^3(a-3) P.s "/"-дробная черта деления.
Ответы
Автор ответа:
0
В) -2n
Г) Поясните, там 6а в степени 2b, а степень 2b в степени 3(3-a)?
Г) Поясните, там 6а в степени 2b, а степень 2b в степени 3(3-a)?
Автор ответа:
0
Нет. Там 6a^2 умноженное на b^3 степени умноженное на (3-a)-Это числитель.
Автор ответа:
0
решение в приложении:
Приложения:
Автор ответа:
0
помоги пожалуйста http://znanija.com/task/10931559
Похожие вопросы
Предмет: История,
автор: ttihon97244
Предмет: История,
автор: Аноним
Предмет: Русский язык,
автор: kalimbetovzinatdin
Предмет: Математика,
автор: klghtyujkju