Предмет: Алгебра,
автор: Christinaaaa
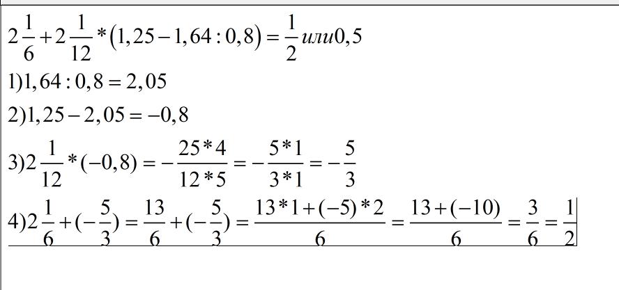
2 целых одна/шестая + 2 целых одна/двенадцатая умножить (1,25-1,64 : 0,8)=? помогитеее плииизз
Ответы
Автор ответа:
0
==========================================
Приложения:
Похожие вопросы
Предмет: Математика,
автор: deniiii01
Предмет: География,
автор: belanskaja
Предмет: Математика,
автор: pan4ukgirl280
Предмет: Биология,
автор: Nastya12323
Предмет: Биология,
автор: yyyppp