Предмет: Алгебра,
автор: logl
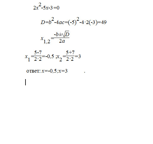
1. Решить уравнение: а)2х(в квадрате)-5х-3=0
Ответы
Автор ответа:
0
==============================================
Приложения:
Автор ответа:
0
2x^2-5x-3=0 (a-b-c)
D=b^2-4ac = 25+24=49=7
-b (+-) D/2a = x1=5+7/4 = 3
x2=5-7/4 = -1/2
D=b^2-4ac = 25+24=49=7
-b (+-) D/2a = x1=5+7/4 = 3
x2=5-7/4 = -1/2
Приложения:
Похожие вопросы
Предмет: Информатика,
автор: Аноним
Предмет: Химия,
автор: assoi05
Предмет: Математика,
автор: Аноним
Предмет: История,
автор: kloges