Предмет: Алгебра,
автор: aitakulichkina
Геометрическая прогрессия
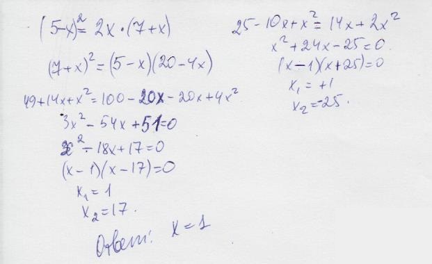
b(n): 2x; 5-x; 7+x; 20-4x
Найти х
Ответы
Автор ответа:
0
по свойству геом прогрессии - каждый член прогрессии является средним квадратичным соседних членов,
решение в приложении:
решение в приложении:
Приложения:
Похожие вопросы
Предмет: Қазақ тiлi,
автор: auganbaevaajgul05
Предмет: Математика,
автор: Ruslanmaziev7
Предмет: Литература,
автор: sabinaabiseva62
Предмет: Биология,
автор: 6939