Предмет: Алгебра,
автор: gulmanova13
УМОЛЯЮ !!!! ПОЖАЛУЙСТА!!!
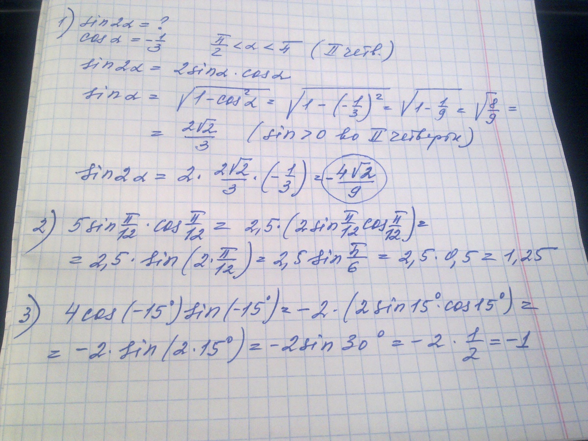
Вычислите sin 2a,если cos a=-1/3,п/2
Упростить:
5 sin п/12*cos п/12
4 cos(-15)*sin(-15)
Ответы
Автор ответа:
0
........................................
Приложения:
Похожие вопросы
Предмет: Геометрия,
автор: aruzhanzhumagazy02
Предмет: Математика,
автор: serg52505
Предмет: Химия,
автор: zazdravnyxppp
Предмет: Физика,
автор: Kiava
Предмет: География,
автор: СашаЩербина2849