Предмет: Алгебра,
автор: varvarastac
Помогите логарифмическое уравнение решить.
Приложения:
Ответы
Автор ответа:
0
квадратное решать умеешь?) красное которым?
Приложения:
Автор ответа:
0
сорян за неаккуратность
Автор ответа:
0
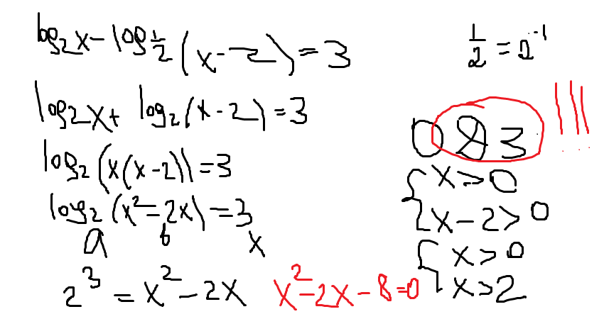
log2(x)-log2^-1(x-2)=3
log2(x)+log2(x-2)=3
log2(x(x-2)=3
x(x-2)=2³
x²-2x-8=0
D1=1+8=9
x1=1+3=4 x2=1-3=-2 не подходит ОДЗ х>0 x>2
log2(x)+log2(x-2)=3
log2(x(x-2)=3
x(x-2)=2³
x²-2x-8=0
D1=1+8=9
x1=1+3=4 x2=1-3=-2 не подходит ОДЗ х>0 x>2
Приложения:
Похожие вопросы
Предмет: Қазақ тiлi,
автор: Аноним
Предмет: Українська мова,
автор: Аноним
Предмет: География,
автор: fmphl75929
Предмет: Обществознание,
автор: borisantonenck