Предмет: Геометрия,
автор: yulyayul
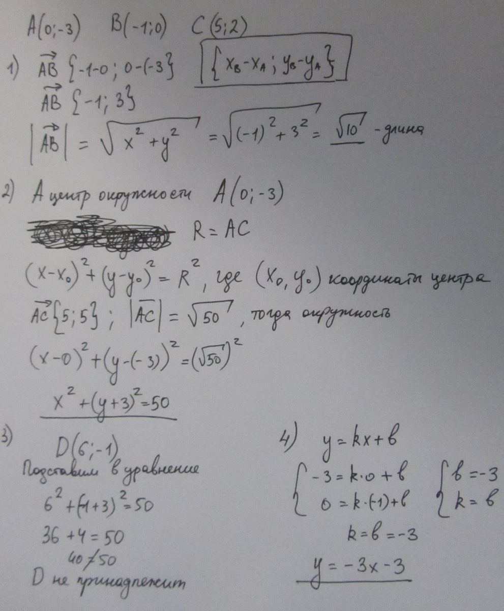
Даны точки A ( 0 ; - 3 ) , B ( - 1 ; 0 ) , C ( 5 ; 2 ) 1) НАйдите координаты и длину вектора AB/ 2)Запишите уравнение окружности с центром в точке A и радиусом AC 3) ПРинадлежит ли этой окружности точка D(6,-1) 4) Запишите уравнение прямой AB РЕШИТЕ ПОЖАЛУЙСТО КТО НИБУДЬ БУДУ ОЧЕНЬ БЛАГОДАРНА СДЕЛАТЬ НУЖНО СРОЧНО ДО ЗАВТРО(((
Ответы
Автор ответа:
0
........................................................все на картинке
Приложения:
Похожие вопросы
Предмет: Алгебра,
автор: tagirovaliana1501
Предмет: Информатика,
автор: Questionfgg
Предмет: Русский язык,
автор: tamenovabdolla
Предмет: Математика,
автор: ОоКкСсАаНнАа