Предмет: Физика,
автор: Biscviton
ПОМОГИТЕ! Первый закон термодинамики.
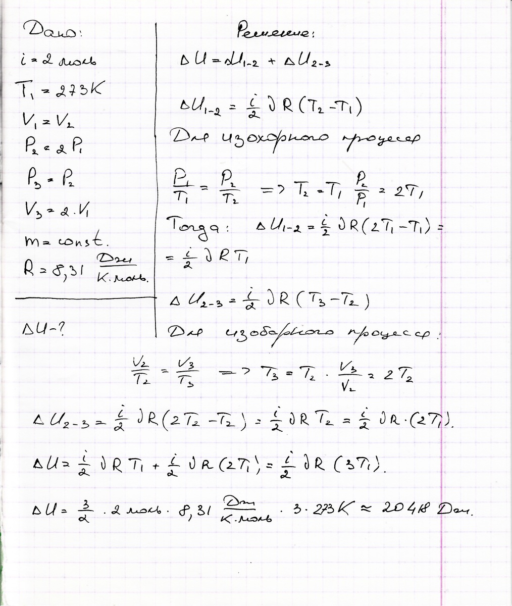
Идеальный одноатомный газ в количестве 2 моль, находящийся при температуре 0 градусов цельсия, сначала изохорно перевели в состояние, в котором давление в 2 раза больше первоначального, а затем изобарно в состояние, в котором объем в 2 раза больше первоначального. Определите изменение внутренней энергии газа.
Ответы
Автор ответа:
0
Решение задачи смотрите во вложении!
Приложения:
Автор ответа:
0
спасибо огромное!!!
Похожие вопросы
Предмет: Математика,
автор: stasya0176
Предмет: Қазақ тiлi,
автор: ЯМэри
Предмет: Алгебра,
автор: Аноним
Предмет: Литература,
автор: Assol25
Предмет: Литература,
автор: Sveta221067