Предмет: Алгебра,
автор: NarutoSasuke
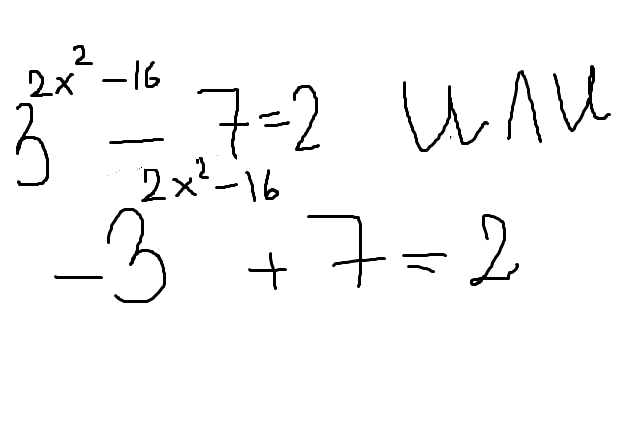
Найдите рациональные числа, которые являются корнями уравнения
(есть вложения)
Приложения:
Ответы
Автор ответа:
0
3^(2x^2-16)=2+7=9=3^2
2x^2-16=2
2x^2=18
x^2=9
x1=-3
x2=3
-3^(2x^2-16)+7=2
3^(2x^2-16)=5
2x^2-16=log3(5)
2x^2=16+log3(5)
x^2=8+log3(sqrt(5))
x3=sqrt(8+log3(sqrt(5)))
x4=-sqrt(8+log3(sqrt(5)))
Похожие вопросы
Предмет: Алгебра,
автор: nywkuH
Предмет: Геометрия,
автор: 1vikazuk042
Предмет: Қазақ тiлi,
автор: zhumazhandariya53
Предмет: История,
автор: Морриган