Предмет: Алгебра,
автор: Claw16
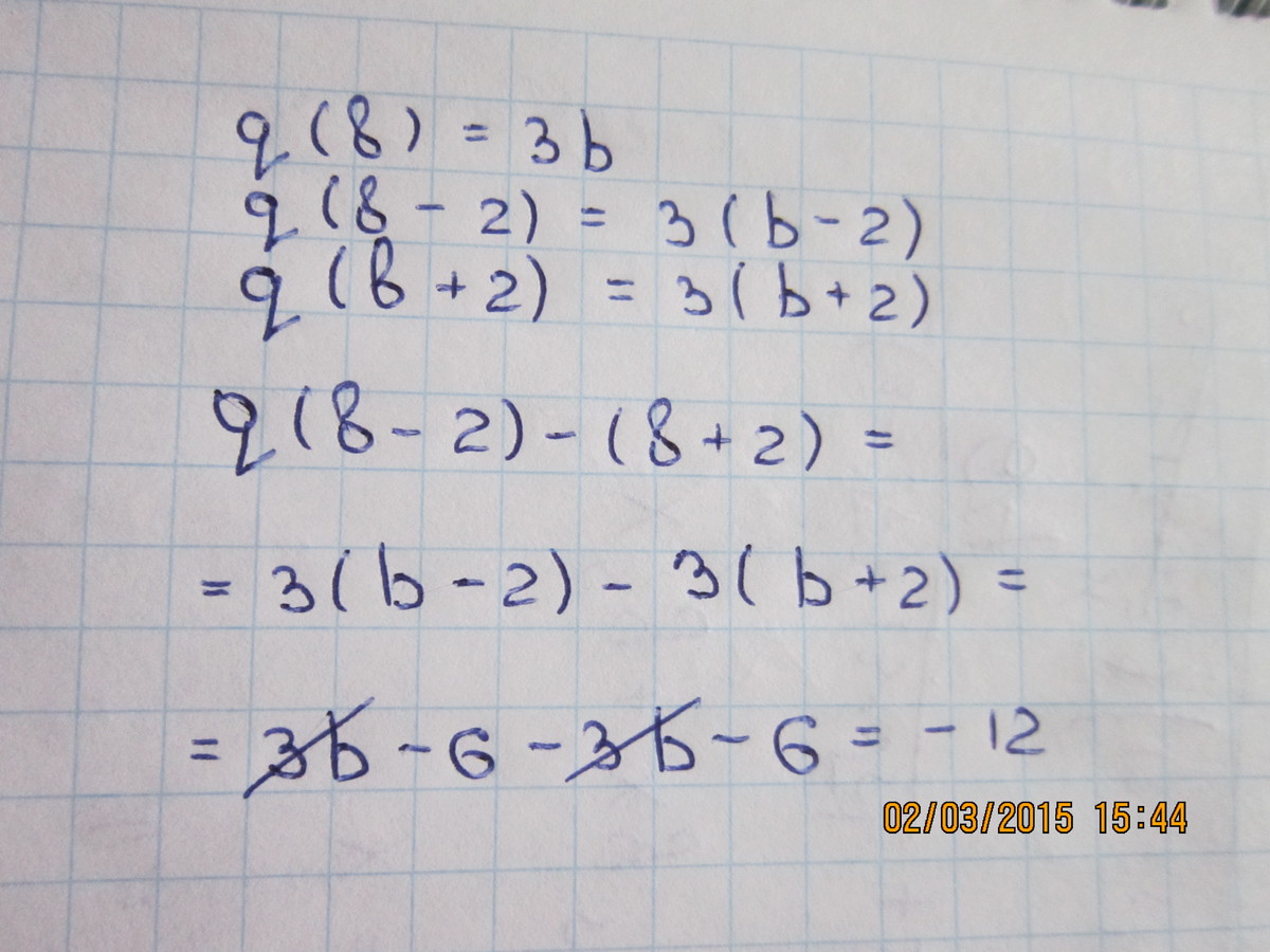
Найдите значение выражения, q(b-2)-(b+2) если q(b)=3b
Ответы
Автор ответа:
0
Решение находится во вложении
Приложения:
Автор ответа:
0
Спасибо)
Похожие вопросы
Предмет: Геометрия,
автор: vlandar
Предмет: Қазақ тiлi,
автор: dujsekinkar
Предмет: Музыка,
автор: Аноним
Предмет: Обществознание,
автор: Iedkxbexkbedx
Предмет: Алгебра,
автор: alex446