Предмет: Алгебра,
автор: girba01
Пожалуйста разложить на многочлены
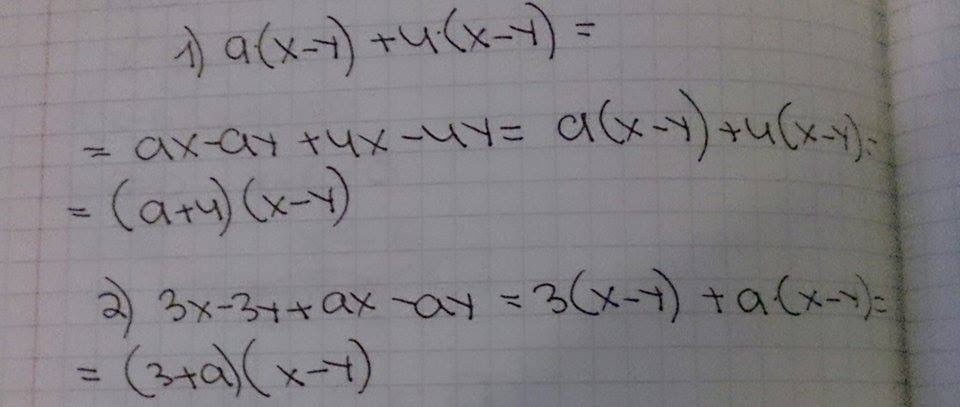
1) а(х-у)+4(х-у)=
2) 3х-3у+ах-ау=
Ответы
Автор ответа:
0
1) а(х-у)+4(х-у)=(х-у)(a+4);
2) 3х-3у+ах-ау=3(x-y)+a(x-y)=(х-у)(3+a).
2) 3х-3у+ах-ау=3(x-y)+a(x-y)=(х-у)(3+a).
Автор ответа:
0
Определите площадь первоначального прямоугольника
Автор ответа:
0
Обозначим длину за x, а ширину за y, тогда: 2х+2у=40.
Площадь первоначального прямоугольника: S = xy
Площадь прямоугольника после изменения длин его сторон:
(x-3)(y+6)=S+3, где S = xy
ху+6х-3у-18=ху+3; xy сокращаются
6х-3у=21
6х=21+3у
х=21+3у/6
Подставляем в первое уравнение:
2(21+3у/6)+2у=40
7+у+2у=40
7+3у=40
3у=33
у=11
х=9
S = 99.
Площадь первоначального прямоугольника: S = xy
Площадь прямоугольника после изменения длин его сторон:
(x-3)(y+6)=S+3, где S = xy
ху+6х-3у-18=ху+3; xy сокращаются
6х-3у=21
6х=21+3у
х=21+3у/6
Подставляем в первое уравнение:
2(21+3у/6)+2у=40
7+у+2у=40
7+3у=40
3у=33
у=11
х=9
S = 99.
Автор ответа:
0
И еще пожалуйста если не сложно Докозать тождество:
Автор ответа:
0
(у-а)(у-в)=ав-(а+в)*у+у во 2
Автор ответа:
0
Ох саша саша я сначала подумала чт это не ты а потом посмотрела фотографию и ущнала это ты что делать булем сразу 2 ставить за списыван
Автор ответа:
0
Используется метод группировки.
Приложения:
Похожие вопросы
Предмет: Литература,
автор: evelinatukacheva09
Предмет: Другие предметы,
автор: VitalyVolkov
Предмет: Русский язык,
автор: shaman0220
Предмет: Химия,
автор: pmalyarova
Предмет: Математика,
автор: dzadtsoeva