Предмет: Физика,
автор: Vampire100
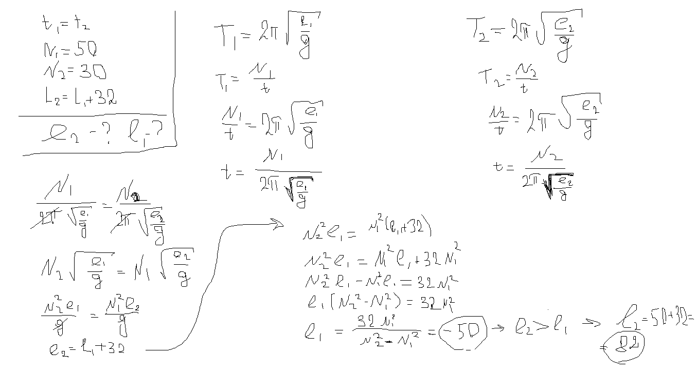
За одно и тоже время один математический маятник делает 50 колебаний, а второй 30. Найти их длины, если один из них на 32 см короче другого.
Ответы
Автор ответа:
0
в общем смотри я в паинте решил
L1 по модулю
Приложения:
Похожие вопросы
Предмет: Математика,
автор: Аноним
Предмет: Русский язык,
автор: fnafer321bop
Предмет: Русский язык,
автор: nastiavas2010
Предмет: Геометрия,
автор: Christa
Предмет: Геометрия,
автор: Dasha2196