Предмет: Алгебра,
автор: marlianna
Решите пожалуйста, очень срочно нужно
Приложения:
Ответы
Автор ответа:
0
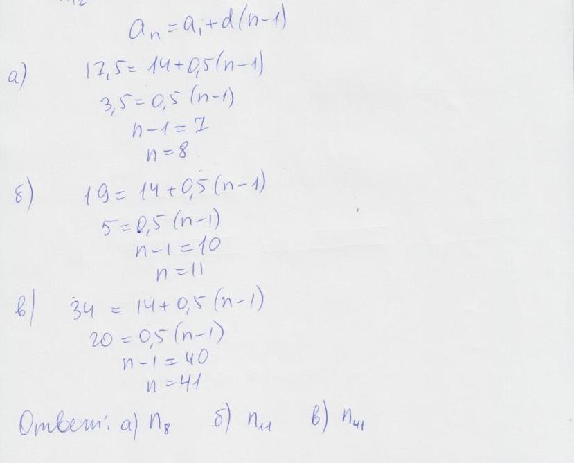
член прогрессии с номером находится по формуле Xк=14+(к-1)/2, поэтому а)х8=14+7/2=17,5 б)х11=14+10/2=19 в)х21=14+20/2=34
Автор ответа:
0
решение в приложении:
Приложения:
Похожие вопросы
Предмет: Математика,
автор: zuhrazangazinova382
Предмет: Английский язык,
автор: zamirzamirmahambiar
Предмет: Қазақ тiлi,
автор: Аноним
Предмет: Физика,
автор: ainazikernisbe