Предмет: Физика,
автор: Даша5796
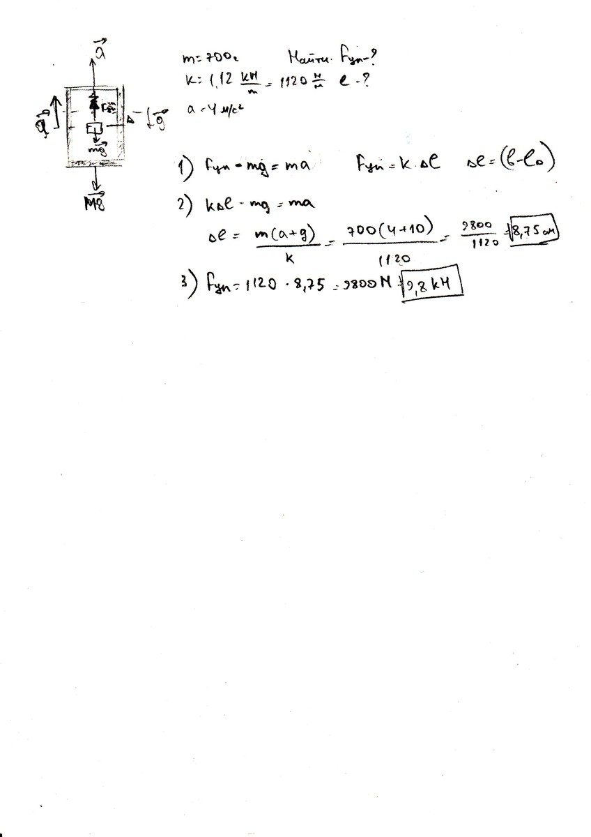
Лифт поднимается вверх с ускорением 4м/c2. В лифте на пружине жесткостью 1,12кН/м висит груз массой 700г. Какова сила упругости пружины? На сколько см изменилась длина пружины?
Ответы
Автор ответа:
0
Как то так. Я учео то что лифт не имеет массы (по идее у него тоже есть масса но здесь она не нужна, на картинке все видно)
Приложения:
Похожие вопросы
Предмет: Математика,
автор: dmitriypolunskiy
Предмет: Биология,
автор: Аноним
Предмет: Обществознание,
автор: alinaseyfetdinova
Предмет: Алгебра,
автор: принц77