Предмет: Алгебра,
автор: Rashatoday
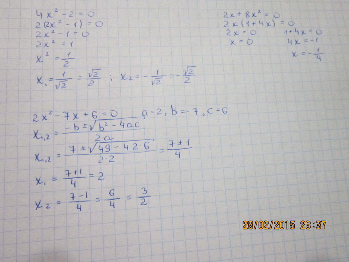
1)Решите уравнения:
4x^2-2=0
2x+8x^2=0
2x^2-7x+6=0
x^2-x=2x-5
Ответы
Автор ответа:
0
Решение находится во вложении
Приложения:
Похожие вопросы
Предмет: Химия,
автор: kaniijan
Предмет: Алгебра,
автор: kaknikita7
Предмет: Математика,
автор: 121212turgen
Предмет: Математика,
автор: gregle