Предмет: Алгебра,
автор: LoonyS
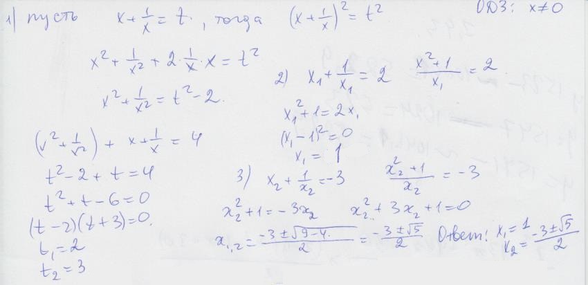
Помогите решить уравнение методом введения новой переменной) х²+1/х²+х+1/х=4
Ответы
Автор ответа:
0
Решение находится во вложении
Приложения:
Автор ответа:
0
решение в приложении:
Приложения:
Похожие вопросы
Предмет: Русский язык,
автор: osenev17
Предмет: Другие предметы,
автор: lizok66612
Предмет: Информатика,
автор: khurovaamina
Предмет: Химия,
автор: Аноним
Предмет: Биология,
автор: Аноним