Предмет: Алгебра,
автор: Jekakamikadze
Решите плиз не знаю как расписать
Приложения:
Ответы
Автор ответа:
0
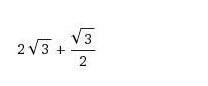
(4*кор из 3+кор из 3)/2=(кор из 3*(4+1))/2=(кор из 3*5)/2
Автор ответа:
0
[/tex]4корня из 3 + корень из 3 = (4+1) корень из 3 = 5 корень из 3[/tex]
Похожие вопросы
Предмет: Английский язык,
автор: nastya68313
Предмет: Математика,
автор: marinafushich13
Предмет: Математика,
автор: Ugehiz1997
Предмет: Обществознание,
автор: вишенка12
Предмет: Алгебра,
автор: Tosha1339