Предмет: Математика,
автор: svetakotova20
Как это решать?объясните пожалуйста
Приложения:
Ответы
Автор ответа:
0
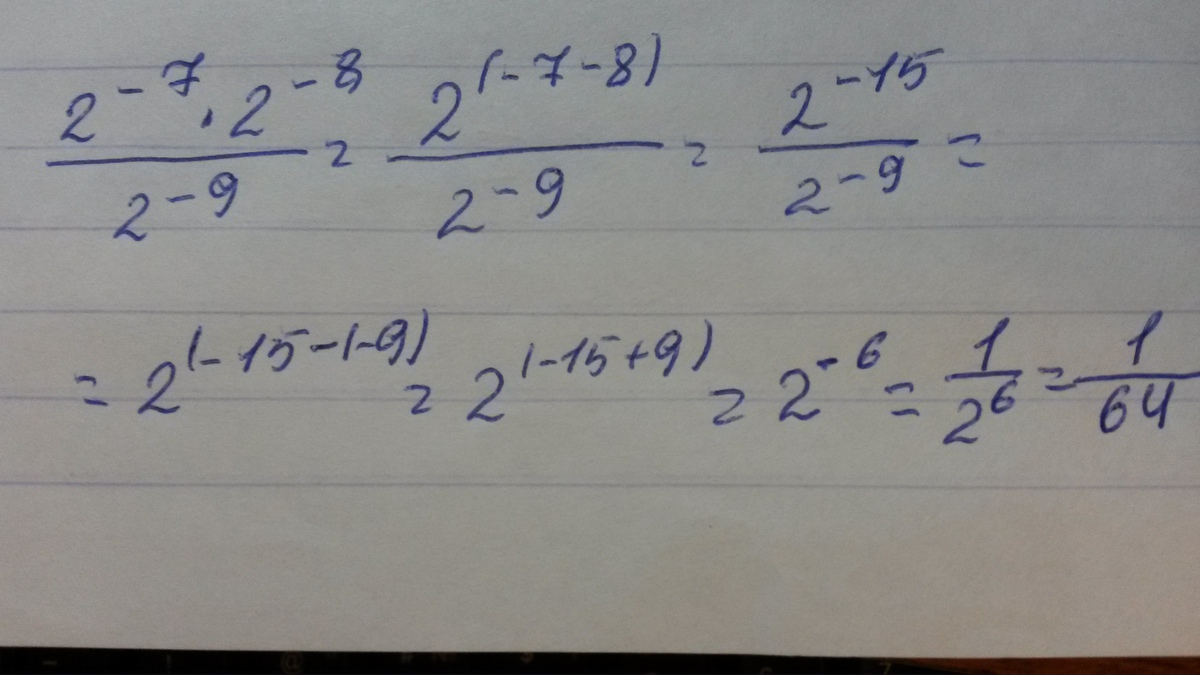
Решение в фотке:
---------------------------------
---------------------------------
Приложения:
Автор ответа:
0
Приложения:
Похожие вопросы
Предмет: История,
автор: Аноним
Предмет: География,
автор: Diniaki
Предмет: История,
автор: astana30ka
Предмет: Математика,
автор: Аноним
Предмет: Литература,
автор: AlinaKcenyia