Предмет: Алгебра,
автор: lisnoy2001
Помогите пожалуйста 880 и 881
Приложения:
Ответы
Автор ответа:
0
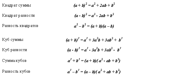
Таблица квадратов должна помочь)
Приложения:
Похожие вопросы
Предмет: Математика,
автор: Бекзод06
Предмет: Русский язык,
автор: tanyshka5551
Предмет: Информатика,
автор: lilyfedorova2
Предмет: История,
автор: Sandos
Предмет: География,
автор: Катеринка07