Предмет: Алгебра,
автор: sergejgrisenko
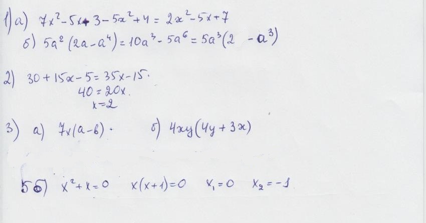
1. Упростите выражение: а) (7х2 – 5х + 3) – (5х2 – 4); б) 5а2 (2а – а4). 2. Решите уравнение 30 + 5(3х – 1) = 35х – 15. 3. Вынесите общий множитель за скобки: а) 7ха – 7хb; б) 16ху2 + 12х2у. 4. По плану тракторная бригада должна была вспахать поле за 14 дней. Бригада вспахивала ежедневно на 5 га больше, чем намечалось по плану, и потому закончила пахоту за 12 дней. Сколько гектаров было вспахано? 5. Решите уравнение: а) ; б) х 2 + х = 0.
Ответы
Автор ответа:
0
решение в приложении:
(нет задания 5(а) -его не решила)
(нет задания 5(а) -его не решила)
Приложения:
Похожие вопросы
Предмет: Математика,
автор: zeryofficial
Предмет: Математика,
автор: aselibatova94
Предмет: Биология,
автор: sevelovdana
Предмет: Физика,
автор: Аноним