Предмет: Алгебра,
автор: Kolbasohka
Помогите решить уравнение, пожалуйста!
____ - дробная черта
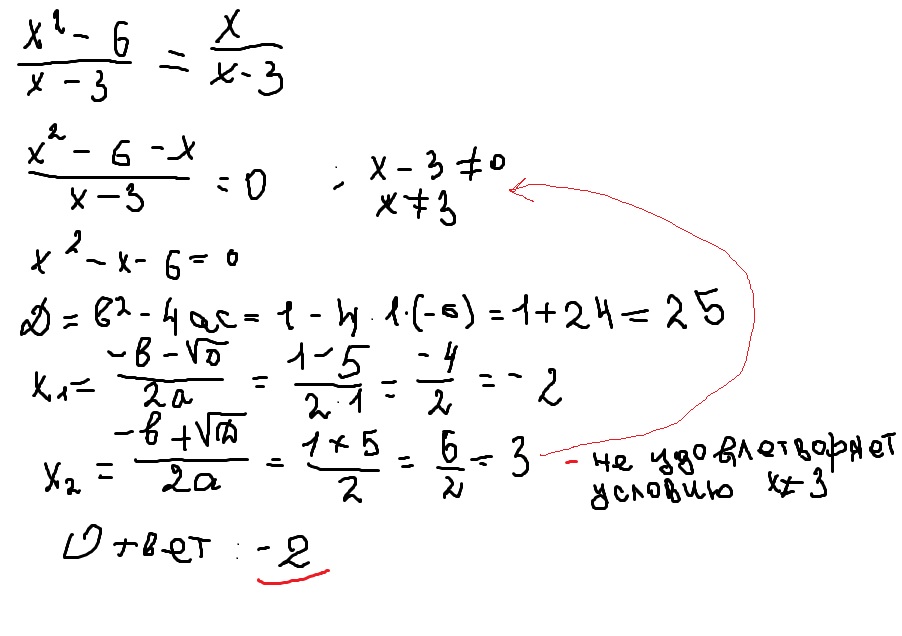
x²-6 x
---- = ------
x-3 x-3
Ответы
Автор ответа:
0
держи
смотри во вложение :)
Приложения:
Похожие вопросы
Предмет: Математика,
автор: merichan16353
Предмет: Алгебра,
автор: bojmurodovsohzahon6
Предмет: Биология,
автор: ajdarhanaan18
Предмет: Алгебра,
автор: 1233124