Предмет: Алгебра,
автор: endryI
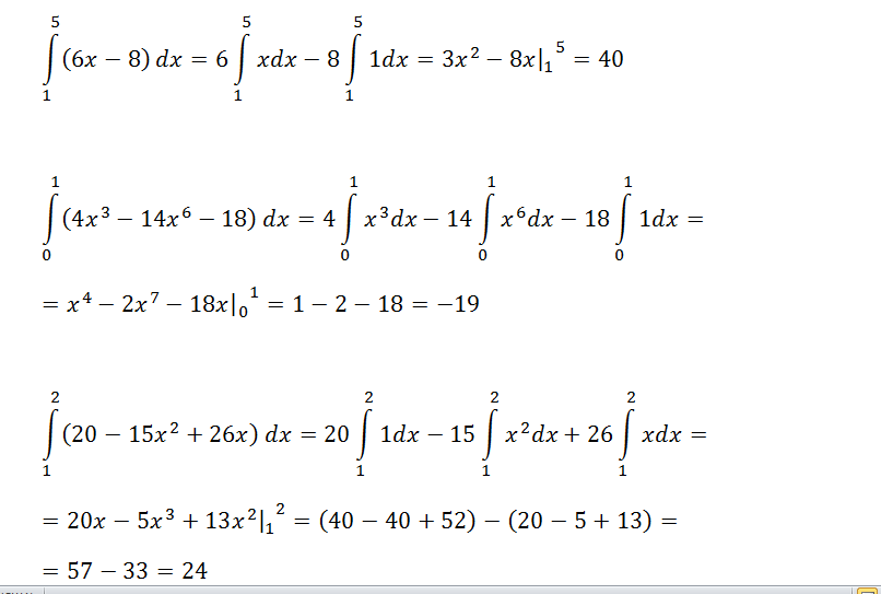
вычислите пожалуйста интеграл
Приложения:
Ответы
Автор ответа:
0
Решение внутри
---------------------------
---------------------------
Приложения:
Похожие вопросы
Предмет: Биология,
автор: gulsezimkanat2009
Предмет: Русский язык,
автор: Аноним
Предмет: Русский язык,
автор: nurzas72
Предмет: Математика,
автор: 114042
Предмет: Математика,
автор: Аноним