Предмет: Алгебра,
автор: 34tanka
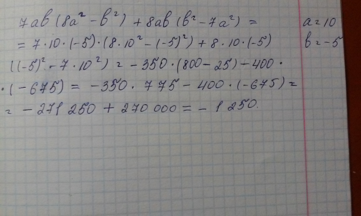
Найди значение алгебраического выражения
7ab(8a2−b2)+8ab(b2−7a2)
при a=10,b=−5
Ответы
Автор ответа:
0
Вот как-то так)
Вроде так)
Вроде так)
Приложения:
Автор ответа:
0
апиши
Автор ответа:
0
напиши
Автор ответа:
0
ответ
Автор ответа:
0
ладно...после самого уравнения: = -18t17+27kt3+20t7-15k=2t17+27kt3-15k
Автор ответа:
0
спс
Похожие вопросы
Предмет: Другие предметы,
автор: tolokmila2007
Предмет: Литература,
автор: ржача
Предмет: Алгебра,
автор: Аноним
Предмет: Биология,
автор: SportHimik